Archive \ Volume.15 2024 Issue 3

The Influence of Physical Factors of the Production Environment on Protein Metabolism in the Body

, , , , , , ,
  1. Department of Therapy, Medical Institute, Chechen State University named after A.A. Kadyrov, Grozny, Russia.

  2. Department of Therapy, Medical Institute, Tula State University, Tula, Russia.


Abstract

The negative effect of vibration, as the main physical production factor, should be thoroughly investigated. In this scientific work, the effect of general vibration on protein metabolism in the body is studied using the example of laboratory animals. 2 series of experiments were conducted on 30 white rats kept in the same conditions. At the same time, animals of group 1 were exposed to vibration, unlike animals of group 2. Animals of group 1 were exposed to a general vertical sinusoidal vibration with a frequency of 20 Hz with a vibration velocity of 126 dB for 4 hours daily for 8 weeks. The results of the studies did not reveal significant changes in the total protein content. However, there was a significant decrease in albumin in the content of protein fractions, as well as an increase in the fractions of α- and γ-globulins. It was found that by the end of the experiment, there was a decrease in the content of total amino acids in the blood serum of experimental animals: aspartic acid (P<0.05), proline (P<0.05), glycine (P<0.01), valine (P<0.05), methionine (P<0.05) and phenylalanine (P<0.001). It should be noted that, in general, there is a decrease in the number of hydrophobic (nonpolar) amino acids (valine, proline, phenylalanine, and methionine) and slightly polar uncharged, as well as negatively charged (aspartic acid).


Downloads: 232
Views: 2541

How to cite:
Vancouver
Umarova MS, Akhyadova ZS, Salamanova TO, Dzhamaldinova ZI, Taysumova ZD, Bekmurzaeva MR, et al. The Influence of Physical Factors of the Production Environment on Protein Metabolism in the Body. Arch Pharm Pract. 2024;15(3):23-7. https://doi.org/10.51847/irgtxJcQcC
APA
Umarova, M. S., Akhyadova, Z. S., Salamanova, T. O., Dzhamaldinova, Z. I., Taysumova, Z. D., Bekmurzaeva, M. R., Tapaeva, M. M., & Ivanushkina, A. M. (2024). The Influence of Physical Factors of the Production Environment on Protein Metabolism in the Body. Archives of Pharmacy Practice, 15(3), 23-27. https://doi.org/10.51847/irgtxJcQcC

Download Citation
Keywords: Vibrations, Negative factors of production, Physical factors of production, Proteins, Protein metabolism

INTRODUCTION

Of all the organic substances that make up living organisms, proteins are the most biologically important and the most complex in structure. They are also the main component of the body (proteins make up 20%, fats – 14.7%, inorganic salts – 4.9%, nucleic acids – 1.0%, carbohydrates – 1.0%) [1-3]. Considering the variety of functions of proteins in the body (catalytic, structural, energy, transport, transmission of heredity, protective, regulatory), the study of the state of protein metabolism under the influence of various environmental factors is of considerable interest [4, 5].

The increase in the number of employees exposed to negative physical factors of the production environment is a logical consequence of urbanization and the development of production. The combination of harmful physical factors in production harms the human body. Thus, the cumulative potential damage to the health of the modern generation is enormous, which causes a great social significance of this problem.

The development of production and urbanization inevitably lead to an increase in the number of workers exposed to a whole range of negative factors of the production environment [6, 7]. The combination of harmful physical factors in production leads to significant potential damage from its adverse effects on the body and causes a great social significance of this problem [8].

The most significant negative physical production factors are vibrational actions [9, 10]. This was the basis for choosing the active factor – vibration for the present research. The literature data on the effect of vibration on the body of workers are numerous [11-18]. Several researchers found a violation of the activity of various body systems in persons of vibration-hazardous professions, which were later confirmed in experimental work on animals [19-22]. However, information on the effect of vibration on protein metabolism, which is the basis of various processes in the body, is very limited [23].

The purpose of the research is to study protein metabolism in the body under the influence of physical factors of the production environment (general vibration) using the example of laboratory animals.

MATERIALS AND METHODS

To determine the negative effect of the vibration factor, two series of experiments were conducted on 30 white laboratory rats. Sexually mature Wistar rats weighing 220-250 g were used in the experiment. All animals were in the same conditions of care, nutrition, cleanliness of the environment, sleep, and wakefulness. The animals were divided into 2 groups:

  • group 1 – animals exposed to vibration;
  • group 2 – a control group of animals that were not exposed to vibration.

The animals of group 1 were exposed to a general vertical sinusoidal vibration with a frequency of 20 Hz with a vibration velocity of 126 dB, created by the VSV-240-445 vibration stand installation (manufacturer Rostech, Russia). When analyzing the data, the levels of the total dose of vibration were used to reflect the accumulated dose of vibration exposure. At the same time, these indicators are similar in their physical meaning to the exposure widely implemented in the international ISO standards for noise and vibration [24].

The most important indicators of protein metabolism include the content of total protein in blood plasma, its distribution into individual fractions, and the determination of amino acids, the main structural component of proteins [25]. The total protein in blood plasma was determined using an IRF-464 refractometer (manufacturer Agroservice, Russia), protein fractions were determined by electrophoresis on paper [26], the amino acid content in blood serum on an automatic AAA-500 amino acid analyzer (manufacturer INGOS, Czech Republic).

The research results were subjected to standard statistical processing with the calculation of the arithmetic mean (M) and its error (m). The assessment of the reliability of the difference between the compared values was carried out with the calculation of the coefficient and the determination of the percentage of reliability according to the Student's table.

RESULTS AND DISCUSSION

The successful solution to the issues of the mechanism of action of general vibration largely depends on understanding the changes in metabolic processes developing in the body, in particular, the metabolism of proteins and amino acids [27]. Proteins, which form the basic material of cells, are quantitatively the most important components of all living things, especially highly organized organisms [28, 29]. In this regard, studies have been conducted to clarify the nature of changes in protein metabolism during experimental exposure to vibration.

The results of the studies showed that when vibrating with parameters (f = 35 Hz, Lv = 126 dB) for 4 hours after an 8-week exposure (accumulated vibration dose of 150 dB), no significant changes in the total protein content (Table 1) were detected, the indicators in the experimental group were 6.18 ± 0.11%, and in the control group – 6.35 ± 0.1%. However, there was a significant decrease in albumin in the content of protein fractions (from 55.18 to 49.20%), as well as an increase in the fractions of α- and γ-globulins (Table 1).

 

 

Table 1. Indicators of protein metabolism under the influence of vibration with parameters f = 35 Hz, Lv = 126 dB, time t = 4 hours, cumulative dose of vibration 150 dB

Groups, statistical indicators

Total protein, %

Protein fractions

Albumins, %

Globulins, %

α

β

γ

M ± m

Control

6.35±0.13

55.18±2.4

12.56±0.21

20.71±0.4

13.13±0.70

Experience

6.18±0.11

49.20±1.10

14.20±0.63

19.1±1.20

16.9±0.44

Р

>0.05

<0.05

<0.05

>0.05

>0.05

 

 

It can be assumed that the decrease in albumins is closely interrelated with the metabolism of amino acids, in particular with such an amino acid as tryptophan, necessary for the synthesis of nicotinic acid (PP), the formation of serum proteins and the synthesis of hemoglobin [30, 31]. Tryptophan is also a growth factor, the younger the body, the higher the need for tryptophan. This explains the violation of body weight gain in growing rats under prolonged exposure to vibration [20, 32, 33].

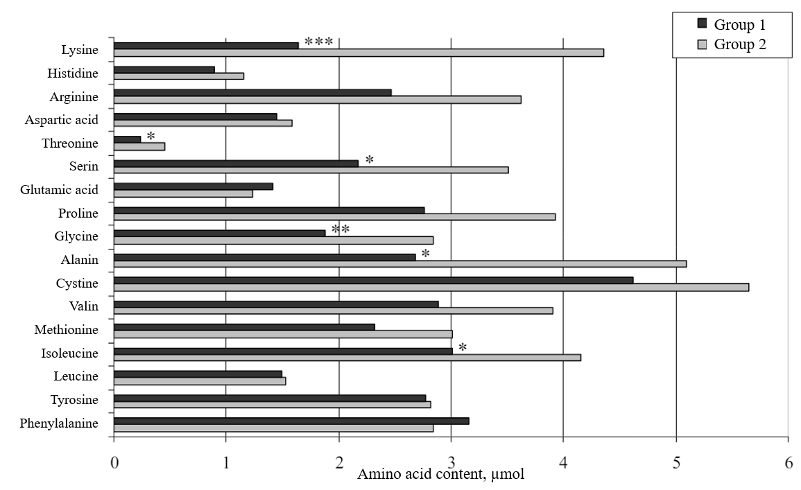
It is known that amino acids in a living organism are structural components of proteins and other biologically active compounds [34]. However, they are often used as an energy source [35]. The organism of higher animals actively oxidizes both exogenous amino acids formed from digested food proteins and endogenous amino acids, the source of which are the processes of metabolic renewal of the body itself [36]. The research results showed that by the end of the experiment, there was a decrease in the content of total amino acids in the blood serum of experimental animals (Figure 1).

 

 

Figure 1. Dynamics of changes in amino acid content under the influence of vibration with a cumulative dose of 150 dB (confidence (P): * – 0,05; ** – 0,01; *** – 0,001)

 

 

Against the general background of a decrease in amino acids, there was a significant decrease in the amount of aspartic acid (P<0.05), proline (P<0.05), glycine (P<0.01), valine (P<0.05), methionine (P<0.05) and phenylalanine (P<0.001).

It should be noted that, in general, there is a decrease in the number of hydrophobic (nonpolar) amino acids (valine, proline, phenylalanine, and methionine) and slightly polar uncharged, as well as negatively charged (aspartic acid). Special attention is paid to the decrease in the level of methionine, which is involved in fat metabolism in the body (regulating fat-phosphatide metabolism) and is one of the best lipotropic substances, i.e. substances that prevent liver obesity [37, 38]. Methionine is the best donor of methyl groups for the synthesis of choline, this antisclerotic factor [39]. When exposed to vibration, there is also a decrease in the level of lysine, which is closely related to hematopoiesis, with its deficiency, the number of red blood cells and the amount of hemoglobin decreases [40]. In addition, with its deficiency, there is a violation of bone calcification, and muscle depletion [41].

The observed certain disturbances in protein metabolism and amino acid metabolism may also be associated with shifts in nitrogen metabolism, noted by some researchers under vibration exposure [42-44].

CONCLUSION

When exposed to vibration with a cumulative vibration dose of 150 dB, there is a significant (P < 0.05) decrease in albumins and an increase in protein fractions of α- and γ-globulins in the blood plasma of experimental animals, which is closely interrelated with amino acid metabolism. Along with some shifts in protein metabolism, vertical sinusoidal vibration causes certain disturbances in the metabolism of amino acids. Against the general background of a decrease in amino acids, there was a significant decrease in the amount of aspartic acid (P<0.05), proline (P<0.05), glycine (P<0.01), valine (P<0.05), methionine (P<0.05) and phenylalanine (P<0.001). Vibration with a cumulative vibration dose of 150 dB causes, mainly, a decrease in the number of hydrophobic (nonpolar) amino acids in the body (valine, proline, phenylalanine, and methionine), as well as negatively charged (aspartic acid). When exposed to vibration, there is a significant decrease in the levels of methionine and lysine, which are closely related to fat metabolism and hematopoiesis.

ACKNOWLEDGMENTS: None

CONFLICT OF INTEREST: None

FINANCIAL SUPPORT: None

ETHICS STATEMENT: The protocol for experiments with laboratory animals complied with the requirements of the European Convention for the Protection of Vertebrate Animals used for Experimental and other Scientific Purposes.

References
  1. Tur JA, Bibiloni MDM. Anthropometry, body composition and resting energy expenditure in human. Nutrients. 2019;11(8):1891. doi:10.3390/nu11081891
  2. Karpińska E, Moskwa J, Puścion-Jakubik A, Naliwajko SK, Soroczyńska J, Markiewicz-Żukowska R, et al. Body composition of young women and the consumption of selected nutrients. Nutrients. 2022;15(1):129. doi:10.3390/nu15010129
  3. Yang B, Tang C, Shi Z, Gao L. Association of macronutrients intake with body composition and sarcopenic obesity in children and adolescents: A population-based analysis of the national health and nutrition examination survey (NHANES) 2011-2018. Nutrients. 2023;15(10):2307. doi:10.3390/nu15102307
  4. Fischer NH, Oliveira MT, Diness F. Chemical modification of proteins - challenges and trends at the start of the 2020s. Biomater Sci. 2023 ;11(3):719-48. doi:10.1039/d2bm01237e
  5. Gurevich VV. Protein multi-functionality: Introduction. Cell Mol Life Sci. 2019;76(22):4405-6. doi:10.1007/s00018-019-03271-6
  6. Siegrist J. Psychosocial stress at work and disease risks: Scientific evidence and implications for practice. Internist (Berl). 2021;62(9):893-8. [In German]. doi:10.1007/s00108-021-01105-x
  7. Dutta S, Gorain B, Choudhury H, Roychoudhury S, Sengupta P. Environmental and occupational exposure of metals and female reproductive health. Environ Sci Pollut Res Int. 2022;29(41):62067-92. doi:10.1007/s11356-021-16581-9
  8. GBD 2019 Risk Factors Collaborators. Global burden of 87 risk factors in 204 countries and territories, 1990-2019: A systematic analysis for the global burden of disease study 2019. Lancet. 2020;396(10258):1223-49. doi:10.1016/S0140-6736(20)30752-2
  9. Wang Z, Jiang Y, Shao X, Liu C. On-site measurement and environmental impact of vibration caused by construction of double-shield TBM tunnel in urban subway. Sci Rep. 2023;13(1):17689. doi:10.1038/s41598-023-45089-0
  10. Beben D, Maleska T, Bobra P, Duda J, Anigacz W. Influence of traffic-induced vibrations on humans and residential building-A case study. Int J Environ Res Public Health. 2022;19(9):5441. doi:10.3390/ijerph19095441
  11. Park I, Kim S, Kim Y, Yun B, Yoon JH. Association between physical risk factors and sleep disturbance among workers in Korea: The 5th Korean working conditions survey. Sleep Med. 2022;100:157-64. doi:10.1016/j.sleep.2022.08.011
  12. Debenedictis TA, Billing D, Milanese S, Furnell A, Tomkinson G, Thewlis D. The impact of the mechanical whole-body vibration experienced during military land transit on the physical attributes underpinning dismounted combatant physical performance: A randomized controlled trial. J Sci Med Sport. 2021;24(4):380-5. doi:10.1016/j.jsams.2020.09.020
  13. Thaper R, Sesek R, Garnett R, Acosta-Sojo Y, Purdy GT. The combined impact of hand-arm vibration and noise exposure on hearing sensitivity of agricultural/forestry workers-A systematic literature review. Int J Environ Res Public Health. 2023;20(5):4276. doi:10.3390/ijerph20054276
  14. Grossmann T, Steffan B, Kirsch A, Grill M, Gerstenberger C, Gugatschka M. Exploring the pathophysiology of Reinke's Edema: The cellular impact of cigarette smoke and vibration. Laryngoscope. 2021;131(2):E547-54. doi:10.1002/lary.28855
  15. Bhuiyan MHU, Fard M, Robinson SR. Effects of whole-body vibration on driver drowsiness: A review. J Safety Res. 2022;81:175-89. doi:10.1016/j.jsr.2022.02.009
  16. Viellehner J, Potthast W. The effect of cycling-specific vibration on neuromuscular performance. Med Sci Sports Exerc. 2021;53(5):936-44. doi:10.1249/MSS.0000000000002565
  17. Kia K, Fitch SM, Newsom SA, Kim JH. Effect of whole-body vibration exposures on physiological stresses: Mining heavy equipment applications. Appl Ergon. 2020;85:103065. doi:10.1016/j.apergo.2020.103065
  18. Bartel L, Mosabbir A. Possible mechanisms for the effects of sound vibration on human health. Healthcare (Basel). 2021;9(5):597. doi:10.3390/healthcare9050597
  19. Lawrence-Sidebottom D, Schmidt MA, Harvey DO, Van Dongen HPA, Davis CJ. Floor vibrations for motivation and feedback in the rat vibration actuating search task. PLoS One. 2021;16(9):e0257980. doi:10.1371/journal.pone.0257980
  20. Minematsu A, Nishii Y. Effects of whole body vibration on bone properties in growing rats. Int Biomech. 2022;9(1):19-26. doi:10.1080/23335432.2022.2142666
  21. Koh ES, Lim JY. Impacts of whole-body vibration on denervated skeletal-muscle atrophy in rats. J Orthop Res. 2023;41(12):2579-87. doi:10.1002/jor.25589
  22. Krajnak K, Waugh S, Welcome D, Xu XS, Warren C, McKinney W, et al. Effects of whole-body vibration on reproductive physiology in a rat model of whole-body vibration. J Toxicol Environ Health A. 2022;85(23):953-71. doi:10.1080/15287394.2022.2128954
  23. Chen D, Kim S, Lee S, Lee JM, Choi YJ, Shin SJ, et al. The effect of mechanical vibration on osteogenesis of periodontal ligament stem cells. J Endod. 2021;47(11):1767-74. doi:10.1016/j.joen.2021.08.014
  24. ISO 9612-2016 Acoustics. Noise measurement for the purpose of evaluating human exposure to noise. Method of measurements at workplaces. Available from: https://docs.cntd.ru/document/1200140579 (Accessed on 15 Jun 2024)
  25. Verevkina M, Goncharov V, Nesmeyanov E, Kamalova O, Baklanov I, Pokhilko A, et al. Application of the Se NPs-Chitosan molecular complex for the correction of selenium deficiency in rats model. Potr S J Food Sci. 2023;17(1):455-66. doi:10.5219/1871
  26. Belyaev NG, Rzhepakovsky IV, Timchenko LD, Areshidze DA, Simonov AN, Nagdalian AA, et al. Effect of training on femur mineral density of rats. Biochem Cell Arch. 2019;19(2):3549-52.
  27. Wu P, Lin S, Cao G, Wu J, Jin H, Wang C, et al. Absorption, distribution, metabolism, excretion and toxicity of microplastics in the human body and health implications. J Hazard Mater. 2022;437:129361. doi:10.1016/j.jhazmat.2022.129361
  28. Bigman LS, Levy Y. Proteins: Molecules defined by their trade-offs. Curr Opin Struct Biol. 2020;60:50-6. doi:10.1016/j.sbi.2019.11.005
  29. Mesquita FS, Abrami L, Linder ME, Bamji SX, Dickinson BC, van der Goot FG. Mechanisms and functions of protein S-acylation. Nat Rev Mol Cell Biol. 2024;25(6):488-509. doi:10.1038/s41580-024-00700-8
  30. Xue C, Li G, Zheng Q, Gu X, Shi Q, Su Y, et al. Tryptophan metabolism in health and disease. Cell Metab. 2023;35(8):1304-26. doi:10.1016/j.cmet.2023.06.004
  31. Comai S, Bertazzo A, Brughera M, Crotti S. Tryptophan in health and disease. Adv Clin Chem. 2020;95:165-218. doi:10.1016/bs.acc.2019.08.005
  32. Pirami H, Khavanin A, Nadri F, Tajpoor A, Mehrifar Y, Tirani ZM. The combined effects of noise and vibration stress on sex hormone levels, fertility capacity, and the protective role of cinnamon extract in rats: An experimental study. Arch Environ Occup Health. 2022;77(9):764-73. doi:10.1080/19338244.2021.2011085
  33. Minematsu A, Nishii Y, Imagita H, Sakata S. Possible effects of whole body vibration on bone properties in growing rats. Osteoporos Sarcopenia. 2019;5(3):78-83. doi:10.1016/j.afos.2019.07.001
  34. Nagdalian AA, Oboturova NP, Krivenko DV, Povetkin SN, Blinov AV, Verevkina MN, et al. Why does the protein turn black while extracting it from insect biomass? J Hyg Eng Des. 2019;29:145-50.
  35. Ansori AN, Widyananda MH, Antonius Y, Murtadlo AA, Kharisma VD, Wiradana PA, et al. A review of cancer-related hypercalcemia: Pathophysiology, current treatments, and future directions. J Med Pharm Chem Res. 2024;6(7):944-52. doi:10.48309/jmpcr.2024.435280.1088
  36. Thalacker-Mercer A, Riddle E, Barre L. Protein and amino acids for skeletal muscle health in aging. Adv Food Nutr Res. 2020;91:29-64. doi:10.1016/bs.afnr.2019.08.002
  37. Hoshi T, Heinemann S. Regulation of cell function by methionine oxidation and reduction. J Physiol. 2001;531(Pt 1):1-11. doi:10.1111/j.1469-7793.2001.0001j.x
  38. Wei F, Locasale JW. Methionine restriction and antitumor immunity. Trends Cancer. 2023;9(9):705-6. doi:10.1016/j.trecan.2023.07.008
  39. Newberne PM, Suphiphat V, Locniskar M, de Camargo JL. Inhibition of hepatocarcinogenesis in mice by dietary methyl donors methionine and choline. Nutr Cancer. 1990;14(3-4):175-81. doi:10.1080/01635589009514092
  40. Wan J, Liu H, Chu J, Zhang H. Functions and mechanisms of lysine crotonylation. J Cell Mol Med. 2019;23(11):7163-9. doi:10.1111/jcmm.14650
  41. Azevedo C, Saiardi A. Why always lysine? The ongoing tale of one of the most modified amino acids. Adv Biol Regul. 2016;60:144-50. doi:10.1016/j.jbior.2015.09.008
  42. Kodama M, Nakayama KI. A second Warburg-like effect in cancer metabolism: The metabolic shift of glutamine-derived nitrogen: A shift in glutamine-derived nitrogen metabolism from glutaminolysis to de novo nucleotide biosynthesis contributes to malignant evolution of cancer. Bioessays. 2020;42(12):e2000169. doi:10.1002/bies.202000169
  43. Santoso KH, Wahyu S, Maulydia M. Neutrophil gelatinase associated lipocalin as biomarker in predicting acute renal tubular injury following general anesthesia with sevoflurane on low-flow anesthesia. J Med Pharm Chem Res. 2024;6(10):1567-82. doi:10.48309/jmpcr.2024.449596.1151
  44. Setyawati AN. The role of oxidative stress in hypoalbuminemia nephropathy related to Nephrotic syndrome: A critical review. J Med Pharm Chem Res. 2024;6(1):32-49. doi:10.48309/jmpcr.2024.182755
 

 


Creative Commons License
This work is licensed under a Creative Commons Attribution 4.0 International License.